2013.02.22. - A Merkúrnál is kisebb exobolygót talált a Kepler
A Kepler űrteleszkóp ultrapontos fotometriai adatai alapján olyan kisméretű bolygórendszert azonosítottak, melynek legkisebb planétája kisebb a Merkúr bolygónál és pályaparaméterei alapján a jellege is hozzá hasonló lehet.
A planéták gazdája, a Kepler-37 jelű csillag a Kepler űrteleszkóp vadászterületén, a Lant csillagképben helyezkedik el, távolsága körülbelül 210 fényév. A rendszer Kepler-37b jelzéssel ellátott, a csillagához legközelebb keringő bolygója alig nagyobb a Holdnál, de kisebb, mint a Merkúr, így jelenleg - ha élhetünk némi képzavarral - toronymagas éllovasa a "legkisebb exobolygó" versenynek.
A Kepler-37 a Naphoz hasonló csillag, bár valamivel kisebb és hűvösebb is annál. Rendszerében három bolygót sikerült detektálni, mindegyik közelebb kering hozzá, mint a Merkúr a Naphoz, ami azt jelenti, hogy nagyon forró, halott világok lehetnek. A Kepler-37b 13 nap alatt kerüli meg a csillagot, míg a c és d jelű planéták 21 és 40 nap alatt. Az előbbi valamivel kisebb, mint a Vénusz, míg az utóbbi átmérője a Földének mintegy kétszerese. A kicsiny Kepler-37b valószínűleg nem csak méretében hasonlít a Merkúrhoz: a kutatók úgy vélik, hogy esetében egy légkör nélküli, mintegy 500 °C hőmérsékletű kőzetbolygóról van szó.

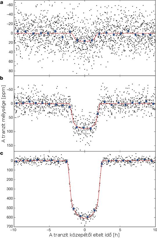
A Kepler-37 fénygörbéje és annak modellje (piros vonal) a bolygók tranzitjának környezetében. A pontok a keringési periódusoknak megfelelően vannak fázisba rendezve. Látható, hogy még a legnagyobb bolygó (c panel) is egy ezrednél kisebb fényességcsökkenést okoz (ppm a milliomodrész), a legkisebb (a panel) pedig mindössze 10 milliomodnyit.
[Barclay és tsai]
A kisméretű bolygók felfedezését a Kepler ultrapontos fotometriai adatsorai tették lehetővé, de kellett hozzá az is, hogy a csillaga kellően fényes és "csendes" legyen. A bolygó méretének meghatározásához ugyanis a gazdacsillag átmérőjének ismerete is szükséges. Ha a csillag nagyon aktív, akkor az általa produkált jelenségek okozta fényességváltozások elnyomják azokat a kicsiny ingadozásokat, melyek alapján a méretére lehet következtetni. A módszer lényege, hogy a belsejében terjedő akusztikus hullámok oszcillációra késztetik a csillagot, ami kis amplitúdójú gyors fényváltozások formájában detektálható. Az eljárás némileg hasonlít ahhoz, ahogyan a geofizikus a Föld belső felépítését tanulmányozzák hanghullámok segítségével, ezért a csillagászatnak ezt a területét asztroszeizmológiának hívják. A kihívást a Kepler-37 esetében tehát az jelentette, hogy a bolygók tranzitja által okozott kicsiny periodikus elhalványodás mellett még az oszcilláció hasonlóan kicsi jelét is detektálni kellett. Jack Lissauer (NASA Ames Research Center) szerint ezt még a Kepler is csak az általa észlelt legfényesebb csillagok esetében tudja megtenni. A Kepler-37 az aszteroszeizmológiában is mérföldkőnek számít, mivel az ilyen vizsgálatoknak a mérési nehézségek miatt eddig a Napnál nagyobb csillagok voltak az alanyai, a Kepler kivételes pontosságának köszönhetően azonban a csillagunknál 25%-kal kisebb égitest átmérőjét 3% pontossággal sikerült meghatározni, ami lehetővé tette, hogy a bolygói méretét is hasonlóan kivételes pontossággal lehessen megadni.

A Naprendszer és a Kepler-37 égitestjeinek méretarányos összehasonlítása. A Kepler-37b alig valamivel nagyobb a Holdnál, átmérője a Földének egyharmada. A Kepler-37c kicsit kisebb a Vénusznál, mérete a Földének háromnegyede, míg a legnagyobb, a Kepler-37d jelű kétszer akkora, mint a Föld.
[NASA/Ames/JPL-Caltech]
A kutatás vezetője, Thomas Barclay (Bay Area Environmental Research Institute, Sonoma, California) szerint az új felfedezés egyrészt rávilágít arra, hogy a csillagukhoz nagyon közeli planéták kisebbek és sokkal nagyobbak is lehetnek, mint a Naprendszer bolygói, másrészt - bár egyetlen bolygó azonosításából még nem lehet trendre következtetni - azt vetíti előre, hogy a bolygóméret csökkenésével az előfordulás exponenciálisan növekedni fog.
Az eredményeket részletező szakcikk a Nature magazin 2013. február 28-i számában fog megjelenni.
Forrás:





