2010.06.24. - Zenélt a Nap a Lordok Háza előtt
Erdélyi Róbert, a sheffieldi egyetem professzora és munkatársai ismét új napfizikai eredményekről számoltak be a Lordok Háza tagjainak, s ezúttal meg is szólaltatták központi égitestünket a főrendek előtt.
A sheffieldi egyetem Erdélyi Róbert (Robertus von Fay-Siebenburgen) által vezetett napfizikai kutatócsoportjának műholdas megfigyelésekre alapozott kifinomult matematikai modell segítségével sikerült rögzítenie a Nap hangját: a napkorona - a Nap légkörének legkülső, de egyelőre a legkevésbé értett rétege - óriási mágneses íveinek rezgései által keltett plazmahullámok matematikai paramétereit használták fel az emberi fül által is hallható hangok generálására, így szólaltatva meg központi égitestünket. A zenei élménynél azonban talán fontosabb, hogy a hullámok lecsengésének vizsgálata lehetővé teszi a napkoronában zajló fizikai folyamatok jobb megértését.
A műholdak által a Napról készített nagyfelbontású felvételek világosan mutatják, hogy a napkoronában rengeteg ív alakú mágneses struktúra van jelen. Az elképzelések szerint ezek a gyakran 100 ezer kilométer feletti méretet is elérő óriási mágneses ívek alapvető szerepet játszanak a napkorona folyamataiban, s tulajdonképpen ők felelősek a napflereknek nevezett hatalmas kitörésekért. A Nap flertevékenységének intenzitása jelentős hatással van az űridőjárásra, s ezen keresztül a földi élet számos területére is.

Óriási mágneses koronaívek a Napon. A millió fokos hőmérsékletű napkorona mágneses tér által megszabott struktúráinak mérete jóval meghaladhatja a 100 ezer kilométert is, egy ilyen ív a Földnél 15-20-szor is nagyobb lehet.
[NASA/TRACE]
Az is ismert megfigyelési tény, hogy a koronaívek gyakran rezgésbe jönnek. Ezek a rezgések lehetnek tranzverzálisak, mint például a gitárhúrok esetében, de észlelhetők longitudinális, a fúvoshangszerekben rezgő levegő mozgásához hasonló oszcillációk is. Ez pedig azért érdekes, mert a rezgések frekvenciái és azok felharmonikusai sok mindent elárulnak annak a közegnek a fizikai paramétereiről, melyben az oszcillációk gerjesztődtek, kitűnő eszközt biztosítva így a napkorona tanulmányozására. A módszer a földkéreg szeizmikus hullámok segítségével történő vizsgálatához való nagyfokú hasonlósága miatt a szoláris magneto-szeizmológia elnevezést kapta.
A Nap egyik legnagyobb rejtélye a napkorona fűtési mechanizmusa, annak kérdése, hogy milyen folyamat okozza, hogy a Nap légkörének az energiát termelő centrumtól a fotoszféránál jóval távolabbi rétege mégis nagyságrendekkel forróbb, mint a fotoszféra. Milliónyi lokalizált mágneses "robbanás" energiája emeli a korona hőmérsékletét 1-2 millió fokra, vagy a Nap belsejében gerjesztődött és kifele haladva a koronában lökésekké alakuló hullámok által leadott energia a felelős? A sok évtizedes probléma megoldásában nagy előrelépést jelent, hogy Erdélyi professzor és munkatársai, Richard Morton és Youra Taroyan a mágneses koronaívek rezgéseinek numerikus modellezésével - melynek segítségével még a legnagyobb felbontású műholdfelvételeken sem látható részletek is tanulmányozhatóvá váltak - kimutatták, hogy a fotoszféra feletti körülbelül 2 ezer kilométer vastag átmeneti rétegben létrejövő, a kutatók által megacunamiknak elnevezett plazmarezgések energiája fűti a korona alsó részét.

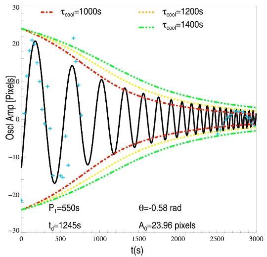
A mágneses koronaívek oszcillációinak amplitúdója. A plazma sugárzás útján történő hűlése a rezgések frekvenciájának változásában és amplitúdójának csökkenésében nyilvánul meg. A kék keresztek a TRACE (Transition Region and Coronal Explorer) műhold mérésein alapulnak, a folytonos vonal a becsült frekvenciaváltozással illesztett lecsengési profil, míg a színes vonalak a lecsengési profil plazmahűlésből számított burkolói, ezek azt mutatják, hogy a megfigyelt lecsengési profil az esetek többségében jól magyarázható a sugárzási hűléssel.
[Morton és Erdélyi]
A kutatócsoport az áttöréssel kecsegtető eredmények egy részéről a brit parlament alsóháza és a Lordok Háza képviselői előtt is beszámolt. Az eredmények másik, a koronaívek rezgésére vonatkozó része egy független előadásban szintén a képviselők elé került. A mágneses koronaívek főrendeknek is bemutatott "megfilmesített" és "megzenésített" rezgései itt nézhetők és hallgathatók meg.
Forrás:





